Skip to content Skip to sidebar Skip to footer

Matlab a Ball Thrown Vertically Upward Falls Back to the Floor and Bounces Many Times

Honors Physics - Free Fall

Background

Examination of free-falling bodies dates back to the days of Aristotle. At that time Aristotle believed that more massive objects would fall faster than less massive objects. He believed this in large part due to the fact that when examining a rock and a feather falling from the same height it is clear that the rock hits the ground first. Upon further examination it is clear that Aristotle was incorrect in his hypothesis.

As proof, take a basketball and a piece of paper. Drop them simultaneously from the same height… do they land at the same time? Probably not. Now take that piece of paper and crumple it up into a tight ball and repeat the experiment. Now what do you see happen? You should see that both the ball and the paper land at the same time. Therefore you can conclude that Aristotle's predictions did not account for the effect of air resistance. For the purposes of this course, drag forces such as air resistance will be neglected.

In the 17th century, Galileo Galilei began a re-examination of the motion of falling bodies. Galileo, recognizing that air resistance affects the motion of a falling body, executed his famous thought experiment in which he continuously asked what would happen if the effect of air resistance was removed. Commander David Scott of Apollo 15 performed this experiment while on the moon. He simultaneously dropped a hammer and a feather, and observed that they reached the ground at the same time.

Since Galileo's experiments, scientists have come to a better understanding of how the gravitational pull of the Earth accelerates free-falling bodies. Through experimentation it has been determined that the local gravitational field strength (g) on the surface of the Earth is 9.8 N/kg, which further indicates that all objects in free fall (neglecting air resistance) experience an equivalent acceleration of 9.8 m/s2 toward the center of the Earth.

(NOTE: If you move off the surface of the Earth the local gravitational field strength, and therefore the acceleration due to gravity, changes.)

You can look at free-falling bodies as objects being dropped from some height or thrown vertically upward. In this examination you will analyze the motion of each condition.

Objects Falling From Rest

Objects starting from rest have an initial velocity of zero, giving you your first kinematic quantity needed for problem solving. Beyond that, if you call the direction of initial motion (down) positive, the object will have a positive acceleration and speed up as it falls.

Drop Ball

An important first step in analyzing objects in free fall is deciding which direction along the y-axis you are going to call positive and which direction will therefore be negative. Although you can set your positive direction any way you want and get the correct answer, following the hints below can simplify your work to reach the correct answer consistently.

  1. Identify the direction of the object's initial motion and assign that as the positive direction. In the case of a dropped object, the positive y-direction will point toward the bottom of the paper.
  2. With the axis identified you can now identify and write down your given kinematic information. Don't forget that a dropped object has an initial velocity of zero.
    • v0=0
    • v=?
    • Δy=?
    • a=9.8 m/s2
    • t=?
  3. Notice the direction the vector arrows are drawn — if the velocity and acceleration point in the same direction, the object speeds up. If they point in opposite directions, the object slows down.

KEY CONCEPT: The magnitude of the acceleration due to gravity (g) is a constant 9.81 m/s2 on the surface of Earth.

Question: What is the speed of a 2.5-kilogram mass after it has fallen freely from rest through a distance of 12 meters?

Variable Value
v0 0
v FIND
Δy 12 m
a 9.8 m/s2
t ?

Answer: Vertical Problem: Declare down as the positive direction. This means that the acceleration, which is also down, is a positive quantity.

2007JanQ4Soln

Objects Launched Upward

Tossed Ball

Examining the motion of an object launched vertically upward is done in much the same way you examined the motion of an object falling from rest. The major difference is that you have to look at two segments of its motion instead of one: both up and down.

Before you get into establishing a frame of reference and working through the quantitative analysis, you must build a solid conceptual understanding of what is happening while the ball is in the air. Consider the ball being thrown vertically into the air as shown in the diagram.

In order for the ball to move upwards its initial velocity must be greater than zero. As the ball rises, its velocity decreases until it reaches its maximum height, where it stops, and then begins to fall. As the ball falls, its speed increases. In other words, the ball is accelerating the entire time it is in the air, both on the way up, at the instant it stops at its highest point, and on the way down.

The cause of the ball's acceleration is gravity. The entire time the ball is in the air, its acceleration is 9.8 m/s2 down provided this occurs on the surface of the Earth. Note that the acceleration can be either 9.8 m/s2 or -9.8 m/s2. The sign of the acceleration depends on the direction you declared as positive, but in all cases the direction of the acceleration due to gravity is down, toward the center of the Earth.

You have already established the ball's acceleration for the entire time it is in the air is 9.8 m/s2 down. This acceleration causes the ball's velocity to decrease at a constant rate until it reaches maximum altitude, at which point it turns around and starts to fall. In order to turn around, the ball's velocity must pass through zero. Therefore, at maximum altitude the velocity of the ball must be zero.

Question: A ball thrown vertically upward reaches a maximum height of 30 meters above the surface of Earth. At its maximum height, the speed of the ball is:

Answer: 0 m/s. The instantaneous speed of any projectile at its maximum height is zero.

Because gravity provides the same acceleration to the ball on the way up (slowing it down) as on the way down (speeding it up), the time to reach maximum altitude is the same as the time to return to its launch position. In similar fashion, the initial velocity of the ball on the way up will equal the velocity of the ball at the instant it reaches the point from which it was launched on the way down. Put another way, the time to go up is equal to the time to go down, and the initial velocity up is equal to the final velocity down (assuming the object begins and ends at the same height above ground).

Now that a conceptual understanding of the ball's motion has been established, you can work toward a quantitative solution. Following the rule of thumb established previously, you can start by assigning the direction the ball begins to move as positive. Remember that assigning positive and negative directions are completely arbitrary. You have the freedom to assign them how you see fit. Once you assign them, however, don't change them.

Once this positive reference direction has been established, all other velocities and displacements are assigned accordingly. For example, if up is the positive direction, the acceleration due to gravity will be negative, because the acceleration due to gravity points down, toward the center of the Earth. At its highest point, the ball will have a positive displacement, and will have a zero displacement when it returns to its starting point. If the ball isn't caught, but continues toward the Earth past its starting point, it will have a negative displacement.

A "trick of the trade" to solving free fall problems involves symmetry. The time an object takes to reach its highest point is equal to the time it takes to return to the same vertical position. The speed with which the projectile begins its journey upward is equal to the speed of the projectile when it returns to the same height (although, of course, its velocity is in the opposite direction). If you want to simplify the problem, vertically, at its highest point, the vertical velocity is 0. This added information can assist you in filling out your vertical motion table. If you cut the object's motion in half, you can simplify your problem solving – but don't forget that if you want the total time in the air, you must double the time it takes for the object to rise to its highest point.

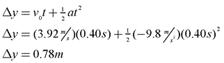
Question: A basketball player jumped straight up to grab a rebound. If she was in the air for 0.80 seconds, how high did she jump?

Variable Value
v0 ?
v 0 m/s
Δy FIND
a -9.8 m/s2
t 0.40 s

basketball player

Answer: Define up as the positive y-direction. Note that if basketball player is in the air for 0.80 seconds, she reaches her maximum height at a time of 0.40 seconds, at which point her velocity is zero.

Can't solve for Δx directly with given information, so find v0 first.

Rebound_soln

Now with v0 known, solve for Δx.

Rebound_Soln_Final

Question: Which graph best represents the relationship between the acceleration of an object falling freely near the surface of Earth and the time that it falls?

A-t Graphs

Answer: (4) The acceleration due to gravity is a constant 9.8 m/s2 down on the surface of the Earth.

Previous

Next

Matlab a Ball Thrown Vertically Upward Falls Back to the Floor and Bounces Many Times

Source: https://www.aplusphysics.com/courses/honors/kinematics/honors_freefall.html

Publicar un comentario for "Matlab a Ball Thrown Vertically Upward Falls Back to the Floor and Bounces Many Times"